Was ist IO-Link?

Wichtige Punkte im Überblick

  • IO-Link verbindet IO-Link Devices wie Sensoren und Aktoren über ein einzelnes Kabel mit einem IO‑Link Master.
  • IO-Link ermöglicht eine bidirektionale Kommunikation zum Lesen oder Schreiben verschiedener Parameter und Gerätedaten.
  • IO-Link kann mit Standardsteckverbindern wie M8- oder M12-Steckern die Verdrahtung vereinfachen. Die Port-Klassen A und B stellen an den Anschlüssen unterschiedliche Ausgangsleistungen zur Verfügung.
  • Die IO-Link Kommunikation erfordert sogenannte IODD-Dateien (IO Device Description). Diese IODD beschreibt die Geräteparameter, Prozess- und Diagnosedaten sowie die Geräteidentifikation und Kommunikation.

IO-Link ist eine digitale Schnittstelle zwischen Sensoren bzw. Aktoren (Devices) und übergeordneten Systemen wie beispielsweise einer SPS (Speicherprogrammierbare Steuerung) oder einem zwischengeschalteten IO-Link Master (Punkt-zu-Punkt Verbindung).
Aufgrund der Standardisierung nach IEC 61131-9 als offener Kommunikationsstandard sind Devices so einfach und auf ähnliche Weise in die gängigen Automatisierungssysteme integrierbar. Die Verwendung von IO-Link nimmt weltweit zu und Nutzer schätzen den vereinfachten Integrationsaufwand, der in der Regel mit nur einem Kabel zum Device erfolgt. Obwohl die Verdrahtung so ähnlich ist wie bei Sensoren mit klassischen E/A-Signalen, wird die Kommunikation deutlich intelligenter und ermöglicht das Lesen und Schreiben verschiedener Geräteparameter.

Darstellung einer grundlegenden IO-Link-Verbindung

A: SPS usw. B: Feldnetzwerk/industrielles Netzwerk C: IO-Link Master D: IO-Link Devices (Sensoren/Aktoren)

Was ist ein IO-Link Master?

IO-Link Master sind Geräte, die mehrere IO-Link kompatible Geräte wie Sensoren und Aktoren verbinden können. IO-Link kompatible Geräte werden in der Regel mit ungeschirmten drei- oder fünfadrigen Kabeln angeschlossen, wobei jedes Kabel auf bis zu 20 m verlängert werden kann.

IO-Link Master verfügen normalerweise über ein industrietaugliches Gehäuse mit IP-Schutzart und stellen mehrere M8- oder M12-Anschlüsse (Buchsen) zur Verfügung.
Der Anschluss erfolgt durch das Einstecken des IO-Link Devices in den Anschluss. Das angeschlossene Device (Sensor oder Aktor) wird über diese Verbindung mit Spannung versorgt. Zusätzlich erfolgt die Datenkommunikation über dieses Kabel und ermöglicht den Datenaustausch zwischen IO-Link Master und Device.

Ein Vorteil von IO-Link und der Verwendung von IO-Link Mastern und Devices ist die Option der Datenspeicherung.
Geräteeinstellungen der angeschlossenen Devices können auf dem Master gespeichert werden. Sollte ein Device aufgrund von Instandhaltungsmaßnahmen ausgetauscht werden, werden die vorhandenen Einstellungen automatisch auf das neue Device übertragen.
Es sind keine manuellen Einstellungen notwendig, weshalb die Maschinenverfügbarkeit erhöht werden kann.

Durch die Unterstützung typischer industrieller Netzwerke wie EtherNet/IP®, Modbus/TCP, PROFINET und EtherCAT® können IO-Link Master problemlos mit Feldnetzwerken und Maschinensteuerungen verbunden werden.

IODD-Datei

Hersteller von IO-Link kompatiblen Devices wie Sensoren oder Aktoren stellen in der Regel auch eine sogenannte "IO Device Description" oder auch "IODD-Datei" bereit.
Die IODD-Datei enthält alle relevanten Informationen und Parameter, die mit der Verwendung eines Devices notwendig sind. Dazu gehören:

・ Informationsdaten wie Angaben zum Hersteller und dem Modell
・ Prozessdaten und Parameter
・ Diagnosedaten und gerätespezifische Daten

Wenn das IO-Link Device an einen IO-Link Master angeschlossen wird, muss auch die IODD-Datei geladen werden. So weiss der IO-Link Master, welche Art von Device angeschlossen ist und welche Funktionen zur Verfügung stehen. Die Einstellungen können dann über den IO-Link Master vorgenommen werden und auf die angeschlossenen Geräte übertragen werden.

IO-Link-Schnittstellen und Kommunikationsdaten

IO-Link-Verkabelungsmethode

Ein Device (Sensor/Aktor) wird als Punkt zu Punkt Verbindung über ein 3- oder 5-adriges Kabel mit M5-, M8- oder M12-Stecker an ein IO-Link Master angeschlossen. Teilweise erfolgt der Anschluss bei manchen IO-Link Master oder IO-Link Klemmen auch über offene Aderenden.
Das Kabel dient sowohl der Spannungsversorgung als auch der Signalübertragung der Device-Daten.

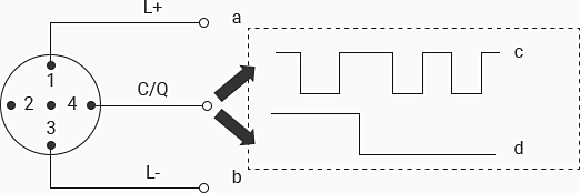
a: 24 VDC (max. 200 mA) b: 0V c: IO.Link-Modus d: Standard-I/O-Modus

*Der Steckverbinder auf der Geräteseite kann eine unterschiedliche Anzahl an Pins haben.

Pinbelegung eines M12-Steckers

Betriebsmodus und Kommunikationsdaten
Die Signalleitung (C/Q) von IO-Link-Steckverbindern verfügt über zwei Betriebsmodi: den IO-Link-Modus und den I/O-Modus, der Signale als standardmäßige digitale E/A-Signale verarbeitet. Der Modus kann je nach angeschlossenem Gerät ausgewählt werden.

Im Folgenden wird beschrieben, welche Daten im IO-Link-Modus zwischen dem Master und dem Device ausgetauscht werden können.
Die bidirektionale Kommunikation ermöglicht eine Zustandsüberwachung, vorausschauende Wartung und schnelle Fehlerbehebung.

Prozessdaten (zyklisch)
Dies sind Daten, die in einem Zyklus ohne spezielle Programme übertragen werden. Der Inhalt der Prozessdaten variiert je nach IO-Link-Gerät, enthält jedoch in der Regel den aktuellen Wert, das Ausgangssignal und den Fehlerstatus eines Sensors.

Gerätedaten (azyklisch)
Diese Daten werden vom IO-Link Master zu beliebigen Zeitpunkten übertragen. Parameterwerte können ausgelesen und geschrieben werden. Auch der Status von IO-Link-Geräten kann aus diesen Daten ausgelesen werden.

Ereignisdaten (azyklisch)
Beim Auftreten eines Ereignisses am Device kann der IO-Link Master diese über den azyklischen Datenaustausch auslesen. Ereignisse können dabei Fehlermeldungen (z. B. Kurzschluss) und Warnungen/Wartungsinformationen (z. B. Verschmutzung, Überhitzung) sein.

Port-Typen
In der Spezifikation für IO-Link Master unterscheidet man in zwei verschiedene Port-Typen: Class A und Class B. Diese unterscheiden sich in der Pinbelegung.

A: IO-Link-Kommunikation oder Digitaleingang B: Digitaleingang oder Digitalausgang

Class A (Port Class A)
Bei Port Class A gibt es drei Leitungen: die Signalleitung (C/Q), L+ und L-, die ein IO-Link kompatibles Gerät mit 24 V versorgen können. Die maximale Stromkapazität, die über L+ bereitgestellt wird, beträgt 200 mA. Wenn das angeschlossene Gerät nur eine geringe Stromaufnahme hat, wie die meisten Sensoren, können Datenkommunikation und Spannungsversorgung über ein einziges Kabel erfolgen.

A: IO-Link-Kommunikation oder Digitaleingang B: Zusätzliche +24 V C: Zusätzliche 0 V

Class B (Port Class B)
Dieser Typ bietet eine zusätzliche Versorgungsspannung und ist für den Anschluss von Devices geeignet, welche einen erhöhten Strombedarf aufweisen. Dabei werden über die Pins 2 und Pins 5 eine zusätzliche Versorgungsspannung bereitgestellt. Dabei können Ströme bis zu 4 A zur Verfügung gestellt werden.

Vorteile von IO-Link
Die herkömmliche Verdrahtung über Klemmen in Schaltkästen erforderte viel Zeit und Aufwand und bringt das Risiko von Fehlverdrahtungen mit sich. IO-Link übernimmt sowohl die Spannungsversorgung als auch die Datenübertragung, indem ein Device (Sensor/Aktor) einfach über bspw. ein M12-Standardkabel mit dem IO-Link Master verbunden wird. IO-Link bietet die folgenden Vorteile in Bezug auf Verdrahtung, Verbindung und Kommunikation:

  • Einfache, einheitliche Verdrahtung und deutlich reduzierte Schnittstellenvielfalt der Devices (Sensoren/Aktoren), ermöglicht eine schnelle Inbetriebnahme.
  • Informationen und Parameter der angeschlossenen Geräte können aus ihren IODD-Dateien abgerufen werden, was eine schnelle Konfiguration ermöglicht. Mehrere Datenkommunikationsmethoden stehen zur Verfügung.
  • Die Kabellänge kann auf bis zu 20 m verlängert werden, wodurch die Verdrahtung sehr flexibel ist.
  • Im IO-Link-Modus können Zustände zu verschiedenen Zeitpunkten über die bidirektionale Kommunikation zwischen Master und Device überprüft werden, was für Zustandsüberwachung, vorausschauende Wartung und schnelle Fehlerbehebung nützlich ist.
  • Der IO-Link-Modus verfügt über drei Kommunikationsgeschwindigkeitsstandards: COM1, COM2 und COM3. Die Geschwindigkeit wird in der Regel automatisch entsprechend dem angeschlossenen Gerät umgeschaltet, wodurch sichergestellt wird, dass die für eine stabile Kommunikation erforderliche Übertragungsgeschwindigkeit ohne manuelle Konfiguration genutzt wird. (COM1 = 4,8 kbps, COM2 = 38,4 kbps, COM3 = 230,4 kbps)

Kompatibel mit vielen industriellen Netzwerken

Merkmale und Vorteile des IO-Link Masters von KEYENCE
Im Produktportfolio von KEYENCE gibt es nicht nur IO-Link kompatible Sensoren, sondern auch das Netzwerkkommunikationsmodul der Modellreihe NQ, das als IO-Link Master eingesetzt werden kann.
So können nicht nur die Sensoren, sondern auch eine intelligente Schnittstelle für die Integration in die Maschine aus einer Hand bezogen werden.
Die IO-Link Master unterstützen alle gängigen Feldnetzwerke und können nahtlos in beispielsweise PROFINET- oder EtherCAT®-Umgebungen eingebunden werden.

Deutliche Reduzierung der Inbetriebnahmezeit
Die Verkabelung reduziert sich auf das Einstecken eines Standardsteckverbinders ohne Werkzeuge. Dies reduziert den Verdrahtungsaufwand im Vergleich zu herkömmlichen Klemmleisten. Zusätzlich kann die Modellreihe NQ innerhalb einer Maschine verbaut werden, da sie über ein robustes und IP-geschütztes Gehäuse verfügt.
Dadurch entfällt die Notwendigkeit einen Schaltkasten vorzubereiten. Neben der vereinfachten Verdrahtung, reduziert die Modellreihe NQ so die Zeit für verschiedene Verdrahtungsarbeiten und reduziert zeitgleich den Fußabdruck einer Maschine, da die Maschinengröße durch die Reduzierung der Schaltkästen verkleinert werden kann.

Einfache und schnelle Verbindung - Vereinfachte Verdrahtung und Platzersparnis

Bearbeitung der Kabelenden

Anbringen von Gabelklemmen

Anbringen von Markierungshülsen

Einstecken und festziehen

Die Datenspeicherfunktion ermöglicht eine schnelle Wiederherstellung bei Problemen
Die Einstellungen und Parameter jedes Sensors werden mit der Datenspeicherfunktion auf dem IO-Link Master gesichert. Wenn beispielsweise ein angeschlossener Sensor ausfällt, kann die Kommunikation durch einfaches Austauschen des defekten Sensors gegen einen neuen Sensor schnell wiederhergestellt werden.
Probleme wie vorübergehende Stillstände und Sensorausfälle können sofort mit dem Master und der SPS identifiziert werden und es ist kein zusätzlicher Aufwand erforderlich, um einen Ersatzsensor einzurichten. Dies reduziert die Ausfallzeiten erheblich.

FAQs zu IO-Link

Was versteht man unter IO-Link?

IO-Link ist ein standardisiertes Kommunikationsprotokoll für die Punkt-zu-Punkt-Verbindung zwischen Sensoren/Aktoren und der Steuerungsebene. IO-Link ermöglicht den bidirektionalen Austausch von Prozessdaten, Diagnoseinformationen und Parametern über eine einfaches Sensorkabel.

Ist IO-Link ein Bussystem?

Nein, IO-Link ist kein klassisches Bussystem. Es handelt sich um eine Punkt-zu-Punkt-Kommunikation zwischen einem IO-Link-Master und einem IO-Link-Device. Der IO-Link Master sammelt die Daten der angeschlossenen Sensoren und stellt die Daten dann in einem Bussystem zur Verfügung. IO-Link ergänzt bestehende Feldbus- und Ethernet-Systeme durch intelligente Gerätekommunikation.

Was ist die IO-Verbindung?

Die IO-Verbindung beschreibt die direkte Verbindung zwischen einem IO-Link-Master und einem IO-Link-Device (z. B. Sensor oder Aktor). Diese Verbindung ermöglicht die Übertragung von digitalen Signalen und Werten sowie die Parameter‑ und Diagnosedaten in Echtzeit.

Was sind die Nachteile von IO-Link?

Ein Nachteil von IO-Link ist die begrenzte Kommunikationsdistanz von maximal 20 Metern zwischen IO-Link Master und IO-Link Device. Zudem erfordert die Punkt-zu-Punkt-Verbindung einen höheren Verdrahtungsaufwand im Vergleich zu klassischen Buslösungen. Für komplexe Topologien kann dies zu einem erhöhten Installationsaufwand führen.

Was ist der Vorteil von IO-Link?

IO-Link bietet zahlreiche Vorteile: einfache Installation, standardisierte Schnittstellen, erweiterte Diagnosefunktionen, die Möglichkeit einer Fernparametrierung oder die automatische Übertragung gespeicherter Einstellungen beim Device-Tausch. Dadurch wird die Inbetriebnahme beschleunigt und die Wartung vereinfacht.

Wie funktioniert der IO-Link?

IO-Link funktioniert über eine Kommunikation zwischen einem IO-Link Master und einem IO-Link Device. Die Datenübertragung erfolgt zyklisch in Form von Prozessdaten sowie azyklisch für Parameter‑ und Diagnosedaten. Die Kommunikation basiert auf einem Standardkabel, was die Integration besonders einfach macht.

Empfohlene Artikel