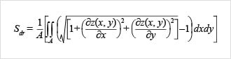
Sdr (Entwickeltes Grenzflächenverhältnis)
Bei diesem Parameter handelt es sich um den Prozentsatz der zusätzlichen Fläche des Definitionsbereichs, die auf die Textur zurückzuführen ist, im Vergleich zum absolut ebenen Definitionsbereich.
Der Sdr-Wert einer vollständig planen Oberfläche ist 0.

Weist eine Oberfläche eine Steigung auf, wird Sdr größer.
Bei der folgenden Fläche handelt es sich um eine Ebene mit Neigungsanteilen von 45 Grad und einem Sdr von 0,414. (Das bedeutet, dass die Oberfläche um etwas mehr als 40% vergrößert ist).

