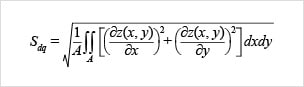
Sdq (Quadratischer Neigungsmittelwert)
Dieser Parameter berechnet sich als quadratischer Mittelwert der Steigung an allen Punkten im Definitionsbereich.
Der Sdq-Wert einer vollständig planen Oberfläche ist 0.

Weist eine Oberfläche eine Steigung auf, wird Sdq größer.
Bei der folgenden Fläche handelt es sich um eine Ebene mit Neigungsanteilen von 45 Grad und einem Sdq von 1.


