Sal (Autokorrelationslänge)
Dieser Parameter steht für den horizontalen Abstand in der Richtung, in der die automatische Korrelationsfunktion am schnellsten auf den Wert [s] (standardmäßig: 0,2) abfällt.
Autokorrelationsfunktion
In der Bildverarbeitung ist die Autokorrelationsfunktion ein Maß für das Übereinstimmungsverhältnis zwischen einem in unterschiedlichen Koordinaten dargestellten Bild und seinem Original.
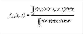
Die bei der Berechnung von Sal und Str verwendete Autokorrelationsfunktion lautet wie folgt:

Im Folgenden wird diese Funktion aus Gründen der Vereinfachung nur anhand der X-Richtung erläutert.
Angenommen, die Messung hat einen Höhenunterschied mit den unten genannten Daten ergeben.

Die Autokorrelation dieser Daten lässt sich folgendermaßen darstellen:

Einfach gesagt, lässt sich mit der Autokorrelationsfunktion ein Bereich ermitteln, in dem sich die abweichenden Höhendaten mit den Originaldaten überschneiden.
(Gelbe Bereiche in der Abbildung unten).
Bei geringfügigen Unterschieden ist der Überschneidungsbereich und damit auch Autokorrelationswert groß.
Bei großen Unterschieden kommt es nur in einem kleinen Bereich zu einer Überlappung und der Autokorrelationswert klein.

Ein steiler Höhenunterschied führt sofort zu einer geringeren Korrelation, da selbst ein kleiner Unterschied eine starke Änderung der Form nach sich zieht.
Bei graduellen Höhenunterschieden sinkt der Autokorrelationswert langsam, da sich die Form erst ändert, wenn der Unterschied groß wird.
Da Sal der Abstand ist, bei dem der Korrelationswert am schnellsten abfällt, kann über ihn ermittelt werden, ob es einen Punkt gibt, an dem sich die Oberflächenhöhe abrupt ändert.
Da Str das Verhältnis der Abstände beschreibt, in denen die Autokorrelation am schnellsten und am langsamsten abfällt, dient dieser Wert der Beurteilung, ob eine Vorzugsrichtung vorhanden ist.
